外观:白色结晶性粉末
含量:98.5-102%
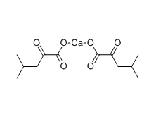
分子结构式:

分子量:298.35
保质期:两年
分子式:C12H18CaO6
CAS登录号: 51828-95-6
用途:作为食品添加剂,能够塑造块状肌肉,并能预防肌肉衰弱。它可以通过练习排除体内的氨,减少肌肉疲劳。
外观:白色结晶性粉末
含量:98.5-102%
分子结构式:

分子量:298.35
保质期:两年
分子式:C12H18CaO6
CAS登录号: 51828-95-6
用途:作为食品添加剂,能够塑造块状肌肉,并能预防肌肉衰弱。它可以通过练习排除体内的氨,减少肌肉疲劳。